Publications

A collection of my research papers in data visualization, visual perception, and human-computer interaction.

Showing 8 publications

Redundant Is Not Redundant: Automating Efficient Categorical Palettes Design Unifying Color & Shape Encodings with CatPAW

Chin Tseng, Arran Zeyu Wang, Ghulam Jilani Quadri, Danielle Albers Szafir

🏆 Best Paper Honorable Mention

In Proceedings of ACM CHI’ 2026: ACM Conference on Human Factors in Computing Systems•2026

This paper systematically evaluates redundant color–shape encodings in multi-class scatterplots and shows that redundancy is not universally beneficial. Instead, its effectiveness depends on category count and specific color–shape pairings, with the strongest benefits appearing at moderate category numbers. We operationalize these findings in CatPAW, an interactive tool that generates empirically optimized categorical palettes under user-defined constraints.

Uncovering How Scatterplot Features Skew Visual Class Separation

Chin Tseng*, S. Sandra Bae*, Takanori Fujiwara*, Danielle Albers Szafir (*equally contributed)

In Proceedings of ACM CHI’ 2025: ACM Conference on Human Factors in Computing Systems•2025

This work investigates how data and scatterplot features influence people’s perception of visual class separation. By analyzing human judgments across thousands of real-world scatterplots and dozens of quantitative features, we identify which factors most strongly affect perceived separability. The paper also introduces a composite feature model that better aligns with human perception than existing visual class separation metrics.

Graphical Perception of Icon Arrays versus Bar Charts for Value Comparisons in Health Risk Communication

Jade Kandel*, Jiayi Liu*, Arran Zeyu Wang, Chin Tseng, Danielle Szafir (*equally contributed)

In Proceedings of IEEE VIS 2025; published in IEEE Transactions on Visualization and Computer Graphics•2025

This paper compares icon arrays and bar charts for supporting value comparison and decision-making in health risk communication. Through two controlled experiments, we reveal trade-offs between estimation accuracy and decision outcomes, as well as differences across literacy levels. The results yield empirically grounded design recommendations for more effective and equitable risk communication.

Characterizing Visualization Perception with Cognitive Theories: Understanding the Role of Subitizing in Data Visualization

Arran Zeyu Wang, Ghulam Jilani Quadri, Mengyuan Zhu, Chin Tseng, Danielle Albers Szafir

🏆 Best Paper Honorable Mention

In Proceedings of IEEE VIS 2025; published in IEEE Transactions on Visualization and Computer Graphics•2025

This paper connects cognitive psychology with visualization design by examining how the subitizing phenomenon shapes performance in categorical visualizations. Across multiple tasks and encodings, we show that perceptual accuracy remains stable below a six-category threshold and declines sharply beyond it. These findings provide a cognitive explanation for long-standing categorical design heuristics and highlight task-dependent limits of scalability.

Shape It Up: An Empirically Grounded Approach for Designing Shape Palettes

Chin Tseng, Arran Zeyu Wang, Ghulam Jilani Quadri, Danielle Albers Szafir

In Proceedings of IEEE VIS 2024; published in IEEE Transactions on Visualization and Computer Graphics•2024

This paper presents the first large-scale empirical study of shape palette design for multi-class scatterplots. We show that intuitive shape features and expert-designed palettes do not reliably predict perceptual effectiveness, especially as the number of categories grows. Based on our findings, we introduce Shape It Up, a data-driven tool that recommends effective shape palettes using empirically derived perceptual distance models.

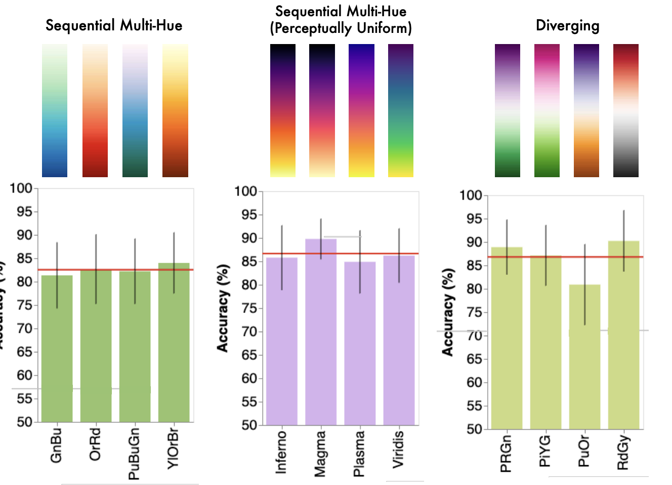
Revisiting Categorical Color Perception in Scatterplots: Sequential, Diverging, and Categorical Palettes

Chin Tseng, Arran Zeyu Wang, Ghulam Jilani Quadri, Danielle Albers Szafir

🏆 Best Short Paper Award (Top 1%)

In Proceedings of EG/VGTC European Conference on Visualization (EuroVis) 2024, Odense, Denmark•2024

This work revisits widely used categorical color heuristics by comparing sequential, diverging, and categorical palette families in multi-class scatterplots. We demonstrate that while hue-based categorical palettes remain effective, lightness variation and perceptual uniformity also play important roles as category counts increase. The results refine existing design guidance for scalable categorical color encoding.

Effects of Data Distribution and Granularity on Color Semantics for Colormap Data Visualizations

Clementine Zimnicki, Chin Tseng, Danielle Albers Szafir, Karen B. Schloss

In Proceedings of IEEE VIS 2023; published in IEEE Transactions on Visualization and Computer Graphics•2023

This paper examines how spatial data distribution and visual granularity influence inferred color semantics in colormap visualizations. We show that background color, spatial structure, and apparent opacity jointly affect how viewers interpret magnitude. The results reveal previously overlooked spatial effects in color semantics and raise new questions about intuitive color mapping in data visualization.

Measuring Categorical Perception in Color-Coded Scatterplots

Chin Tseng, Ghulam Jilani Quadri, Arran Zeyu Wang, Danielle Albers Szafir

In Proceedings of ACM CHI’ 2023: ACM Conference on Human Factors in Computing Systems•2023

This paper empirically studies how color palette design and category count affect people’s ability to interpret multi-class scatterplots. Through a large-scale crowdsourced experiment, we show that both the number of categories and color discriminability significantly influence perceptual accuracy, challenging common heuristic guidelines. Our findings provide early empirical grounding for more robust categorical color design.